network literacy
Practices, Definitions, ImplicationsThe traditional producer/consumer (or writer/reader) dichotomy is conflated by/in Web 2.0; questions of audience and genre are further complicated; and writers/readers have had to revise their conventional rhetorical approaches based on their new, dual-direction role.
blogs as networked writing
Arguably, the most important technological adjustment thus far in changing (or a making visible the social qualities of) the roles of readers and writers is the move into Web 2.0. Possibly best described by Tim O’Reilly (2005), the notion of Web 2.0 began as a discussion in response to the dot com break down in 2001, when many Internet(-based) businesses suddenly found themselves bankrupt. Even as start-ups and investors saw money and dreams suddenly go up in smoke, the World Wide Web appeared to be burgeoning, teeming with activity. O’Reilly observed that this activity was notably different from what then-conventional Internet use “looked like.” Essentially, Web 2.0 “harnesses collective intelligence” and acknowledges users of applications as “co-developers” (O’Reilly, 2005). Web 2.0 made the beta version king; monolithic releases are eschewed for periodic updates that take user experience into close consideration. The traditional producer/consumer (or writer/reader) dichotomy was conflated; questions of audience and genre were further complicated; and writers/readers have had to revise their conventional rhetorical approaches based on their new, dual-direction role.
One application in which the writer/reader role, the sociality of writing itself, and the ways in which users interacting with tools and other users construct networks became apparent is blogging. By examining the rhetorical strategies of identity and network construction that manifest in an established community of bloggers, we can begin to describe the practices of network literacy. Briefly, a blog is a website that is updated on a regular basis with entries or posts. Blogs can be single- or multi-authored, and most often the entries are open for reader response in a comment section that then becomes part of the entry. The blogs selected for this study fulfill several other specifications that not all blogs exhibit; however, in looking at the interaction between writers, readers, and the spaces they construct it was necessary to consider issues of longevity and connectivity. Therefore, the blogs examined here satisfied the following requirements:
- Their authors self-selected as participants of a particular larger community of bloggers (“mom blogs”)
- Each blog displayed a blogroll, or semi-static list of outgoing links to other blogs
- Each blogger posted regularly (2+ times per week on average) for at least one year, and continued to post at the time of the study
- Each blogger received regular comments (5+ per post)
The first two specifications, that the blogs be part of a community and that they each have a list of outgoing links to other blogs, establish that the writers who publish the blogs are reading and interacting with other writers, and that within that community there are shared audiences—and that the audiences themselves are writers as well.
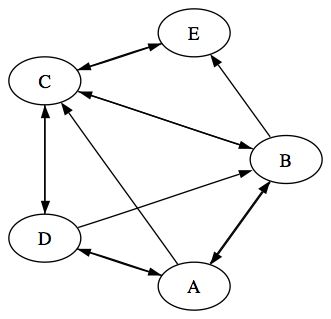
Figure 2
Model of theoretical blogger network

Note. Bloggers A through E are part of a network where each is connected to the other either directly or indirectly, by either being a reader (and providing outward links) or by being read (and receiving incoming links). For instance, C is read by A, B, D, and E and also is a reader of D, B, and E. Blogs A and E in this model are not directly connected to each other; however, there are several paths users could take to get from one to the other using other blogs as points of departure and entry. The blogs in this study fit this simple network model.
Figure 2 illustrates the connectivity requirements of the bloggers for this study. To answer “What does writing in a distributed, collaborative environment look like?” we must first find a distributed collaborative environment. Therefore, we chose to sample from an existing community of blogs written by mothers, and to construct a sample that essentially exhibits the characteristics of a small-world network (Watts, 2003), in which writers are connected either directly via incoming or outgoing links (such as the connections between B and C), or via intermediary writers/readers (such as the connections between A and E).
The last three specifications, that bloggers persist, post at least two times per week, and receive (on average, at least) five comments per post limits our scope to looking at writers/readers who are most likely to exhibit practices that reflect their interaction with other readers/writers. That is, a blogger who has only been writing for a few weeks or months, or who is not getting substantial traffic, might not be as influenced by—or not as influential to—other writers. Since we are working to describe distributed, collaborative writing, these specifications help us to delineate which writers are connected in ways that create networked writing practices.
        Figure 3
          Network of writers chosen for this study

Note. This graph shows the primary links between the blogs; it does not represent all the existing secondary (or tertiary, etc.) links that further connect the writers to one another in small-world fashion. Each blog chosen satisfies the study specifications and has a link in the sidebar.
"Mom bloggers" gained the attention of the mainstream media in late 2005, with an article printed in The New York Times by David Hochman. This article, titled “Mommy (and Me),” served as the catalyst for a firestorm of discussion about what it means for moms (and dads) to write and share publicly their parenting experiences. Essentially, the Times article characterized writers of these blogs as self-absorbed, obscenely narcissistic, and “hand-wringing” (Hochman, 2005). Responses to the article were indignant, many of them appearing on the very blogs of those writers Hochman interviewed for his piece. Responses to the article were indignant, many of them appearing on the very blogs of those writers Hochman interviewed for his piece. As a rejoinder, Jen Lawrence of MUBAR (Mothered Up Beyond All Recognition) wondered how writing about one’s children might be considered more self-absorbed than the other topics bloggers discuss, such as “one’s trip to the North Pole by dogsled” (Lawrence, 2005). Further, she argued that the act of writing, in itself, is an act of both self-absorption and exhibition, regardless of the issues taken up. We’ve chosen to study this community of writers because of the visible ways private and public spheres clash in their work, as well as the overt textual construction of identity and subversion of conventional social roles that take place in their writing.
